아인슈타인이 물리학 역사상 손꼽히는 천재인 이유
||2025.06.22
||2025.06.22
현대 물리학의 두 거대한 기둥
상대성 이론과 양자역학
이 두 이론은 모든 물리학 심화 과목 앞에
상대론적 XX역학, 양자 XX역학 이런 식으로 이름 붙어 많은 학생들을 괴롭히는데
현재도 수많은 물리학자들이 두 이론을 결합하기 위해 노력하고 있음
20세기 초반 과학계는 그야말로 양자역학의 시대
그만큼 기여한 과학자들도 셀 수 없이 많아서
교과서에서 이름 나오는 과학자들만 대강 읊어봐도
막스 플랑크 (1918 노벨물리학상 수상)
닐스 보어 (1922 노벨물리학상 수상)
아르놀트 조머펠트
아서 콤프턴 (1927 노벨물리학상 수상)
루이 드 브로이 (1929 노벨물리학상 수상)
베르너 하이젠베르크 (1932 노벨물리학상 수상)
폴 디랙 (1933 노벨물리학상 수상)
에르빈 슈뢰딩거 (1933 노벨물리학상 수상)
볼프강 파울리 (1945 노벨물리학상 수상)
막스 보른 (1954 노벨물리학상 수상)
리처드 파인만 (1965 노벨물리학상 수상)
등등 수많은 과학자들이 자기 이름 딴 공식이나 법칙을 하나씩은 남겨놓음
그래서 양자역학은 어느 한 명이 만들었다 이런 말을 할 수 없음
수많은 천재들이 다 같이 일정 부분 기여했기 때문에

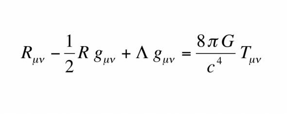
그런데 상대성 이론?
약간 과장하면 그냥 아인슈타인이 처음부터 끝까지 완성함
물론 광속 불변 원리나 로렌츠 변환, 에딩턴의 실험적 검증
그리고 일반 상대성 이론을 완성할 때 주변 수학자들의 도움 등
여러 학자들의 기여가 없다고 말할 수는 없음
그렇지만 아인슈타인의 기여가 압도적으로 크고
혹자는 아인슈타인이 없었다면 상대성 이론은 아직까지도 안 나왔을 수도 있다고 말함
그러니까 상대성 이론과 양자역학 두 기둥 중 하나를 자기 혼자 만든거임
근데 이 사람 노벨상은 양자역학으로 받음
심지어 양자역학 부정한답시고 똥칠하면서 싸우던 것도 양자역학에 기여함
그냥 미친 사람임
