10개 주요대학 대부분이 무전공 선발을 확대한다. 가장 많은 인원을 무전공 선발하는 대학은 총 719명을 뽑는 한국외대다.
2025학년도는 다른 전공 정원이 무전공 선발 규모만큼 줄어드는 첫 해라 입시에 미칠 영향을 내다보기 어려운 상황이다.
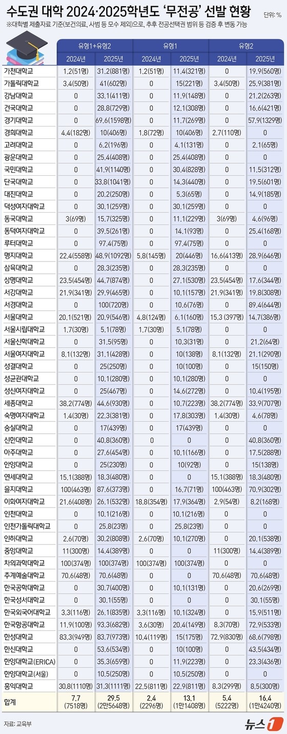
교육부는 30일 '2025학년도 대입전형 시행계획 주요 사항'을 발표하며 수도권 대학 51개교와 교대·특수목적대를 제외한 국립대 22개교에서 2025학년도 3만 7935명(전체 모집 인원의 28.6%)을 전공 없이 정원 내 선발한다고 밝혔다. 전년보다 2만 8011명(22%p) 늘어난 인원이다.
무전공 선발 유형으로는 자유전공학부처럼 무전공으로 선발한 후 대학 내 모든 전공을 선택할 수 있는 유형 1과 계열 또는 단과대학 단위로 모집하는 유형 2가 해당한다.
주요대학들은 무전공 선발을 대거 확대했다. 종로학원 분석에 따르면 유형 1의 경우 경희대는 406명, 성균관대 280명, 한양대 250명, 한국외대 208명, 서강대 157명, 고려대 131명 늘어났다.
기존에도 학과 제한 없이 전공 선택권을 주는 유형 1과 같은 무전공 선발을 큰 규모로 운영하던 서울대(124명)와 이화여대(354명)는 각 36명, 10명 소폭 늘렸다. 연세대와 중앙대는 유형 1 무전공 선발을 운영하지 않는 기존 방침을 유지했다.
유형 2의 경우 한국외대는 511명, 이화여대 114명, 연세대 92명, 중앙대 89명, 고려대 65명 늘렸다. 성균관대, 한양대는 유형 2를 운영하지 않는 기존 방침을 유지했다.
서울대, 서강대, 경희대는 유형 2 선발 인원을 줄였다. 서울대는 2025학년도 386명을 유형 2로 선발해 전년보다 11명 줄였다. 서강대는 전년보다 33명 줄어든 308명을 선발한다. 경희대는 전년에 선발하던 110명을 모두 유형 2로 선발하지 않는다.
임성호 종로학원 대표는 "무전공 선발 인원이 더 많이 증가한 대학일수록 입시 변수가 커질 수 있다"고 말했다.
주요대학들의 무전공 선발 인원은 대부분 기존보다는 크게 늘어났지만, 주요대학별 전체 모집 인원 대비 무전공 선발 비율은 교육부의 인센티브 지원 사업이 적용되는 수도권과 국립대 73개교 전체의 비율인 28.6%보다 대부분 적은 수준이다.
전체 모집 인원 대비 무전공 유형 1·2 무전공 선발 인원 비율을 대학별로 살펴보면 △한국외대 26.1% △성균관대 10.1% △한양대 10.5% △경희대 10% △고려대 6.2% △이화여대 26.1% △연세대 18.3% △중앙대 14.4% △서울대 20.9%다. 주요대학 중 서강대만 29.9%를 기록해 73개교 비율보다 높았다.
2025학년도 대입은 무전공 선발 인원이 대폭 확대된 첫 해라 합격선 등 입시 향방 예측이 어려운 상황이다.
무전공 선발 인원은 기존 학과별 정원에서 일부 각출해 확보된 숫자라 수험생은 지망하던 학과 정원이 얼마나 줄었는지 확인해야 한다.
문·이과를 동시 선발하는 경우 학교 내신 상위권을 차지하고 수능 표준점수가 상대적으로 높은 편인 이과생이 문과생보다 유리할 수 있다는 전망도 나온다.
단과대·계열별로 선발하는 유형 2보다 기존처럼 전공이 정해진 채로 입학하는 게 수험생들 사이에서 더 선호도가 높을 것이라는 분석도 있다.
임 대표는 "인기 있는 특정 전공은 무전공 선발 유형 2로 입학하는 것보다 합격선이 오히려 높아질 수 있다"고 내다봤다.